Bromacil 95% Suppliers, Bromacil 95% Manufacturers.
BROMACIL
Common name: Bromacil(Du Pont Herbicide 976 )
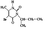
Chemical name: 5-bromo-3-sec-butyl-6-methyluracil(l)
Molecular formula: C9H13BrN2O2
Molecular weight: 261.12
CAS No.:314-40-9
Structural formula:

Physical chemistry: Form similar white crystals. M.p. 157.5-160℃. V.p.4.1×10-2mPa(25℃) M.p.157.5-160℃. Solubility In water 807(Ph5),700(Ph 7),1287(Ph9)(all in mg/l 25℃).In ethanol 134,acetone 167,acetonitrile 71,xylene32.3%,aqueous sodium hydroxide 88(all in g/l,25℃). Stability Thermally stable up to the melting point.Stable in aqueous bases.Slowly decomposed by concentrated acids.
Use Totel weed and brush control on non-crop land at 5-15kg a.i./ha.Also for selective control of annual and perennial weeds and grasses in citrus and pineapple plantations at rates in the range 1.5-8kg/ha.
Mammalian toxicology: Oral Acute oral LD50 for male rats 2000,female rats 1300mg/kg(for 80% formulation).Skin and eye Acute percutaneous LD50 for rabbits>5000mg/kg.Mild eye and moderate skin irritant.Non-sensitising to skin.
Formulation types: 80% Bromacil WP,95% Bromacil TECH.
Packing: 80% Bromacil WP,95% Bromacil TECH 25Kg/Fiber drum.
Specification: Active in gredient % ≥ 95
Water % ≤ 0.5
Acidity(as H2SO4) %≤ 0.3
Insoluble in acetone %≤ 0.3
Company: |
Zhengzhou Jinpeng Chemicals Industrial Co.,Ltd |
E-mail: |
chem@netsun.com |
Address: |
Room 1616, Block A, Yingxie Squre, 138 Zhengbian Road, Zhengzhou, Henan Province, PRC |
Zip Code: |
450003 |